
Esistono diversi tipi di colla, ma tutte hanno in comune una importante caratteristica: non devono incollarsi e seccare all'interno del proprio contenitore. Ma come fanno le colle a rimanere stabili per mesi o anni, prima che le utilizziamo e perché talvolta capita di trovare un tubetto secco dopo mesi dall'ultimo utilizzo? La risposta dipende soprattutto dal tipo di colla. Alcune colle, come quelle epossidiche sono formate da due componenti tenuti in confezioni separate e che "incollano" solo quando vengono mescolati. Le colle viniliche induriscono (e quindi incollano) solo quando l'acqua al loro interno evapora, per questo non induriscono né si attaccano all'interno della confezione; al contrario, le colle cianoacriliche, reagiscono proprio con acqua o con l'umidità dell'aria, indurendosi, ma all'interno della confezione sono liquide. Sembra buffo, ma chiudere bene il tubetto serve nel primo caso a non far evaporare l'acqua, nel secondo a non farla entrare.
La colla vinilica: evitare l'evaporazione del solvente
La celeberrima colla vinilica, adesivo per eccellenza nel fai da te e tormentone del famoso programma Art Attack, è composta da una soluzione acquosa in cui sono disperse molecole di PoliVinil Acetato (PVA), lunghe catene a base di carbonio e idrogeno legate ai cosiddetti gruppi acetati (CH3COO–).
La colla vinilica può essere immaginata come una emulsione (una "zuppa") dove il solvente (acqua) circonda e rende mobili le molecole di PVA. Le piccole molecole di H2O impediscono alle lunghe catene di PVA di interagire tra loro, riducendo le attrazioni tra molecole dovute alle forze di Van Der Waals: in termini tecnici, più che "zuppa", questa situazione è detta "lattice".

A contatto con l'aria, la colla vinilica comincia a perdere acqua per evaporazione, aiutata dalla porosità dei materiali da incollare: così facendo, dal lattice si passa rapidamente a una "ragnatela" di molecole, che in parte penetrano anche sotto la superficie dei pezzi incollati, e che ora sono libere di interagire tra loro il più possibile tra loro sfruttando le forze di Van Der Waals.
All'interno di un contenitore ben chiuso, l'acqua contenuta nella colla non evapora, e il lattice può rimanere stabile a lungo. Questa caratteristica ha però risvolti negativi: ambienti molto umidi o il contatto diretto con acqua possono indebolire il potere adesivo di questa colla, causando il distacco degli oggetti incollati.
Cianoacrilati e colle bicomponenti: reazioni chimiche al moment0 giusto
Le colle a presa rapida, come quelle epossidiche o a base di cianoacrilati, incollano grazie a reazioni chimiche che portano alla polimerizzazione, ossia alla formazione di molecole più grosse a partire da composti più piccoli e reattivi. Ovviamente, per la conservazione della colla è fondamentale che la reazione cominci solamente una volta applicata la colla e non nel contenitore di partenza.
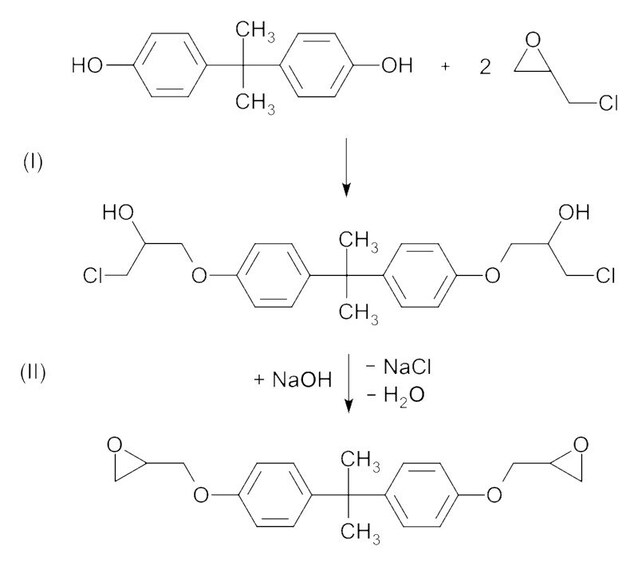
Le colle epossidiche sono tipicamente composte da due componenti, conservati in confezioni separate e che vanno miscelati prima dell'uso. Il primo componente è una molecola contenente il gruppo epossidico (un ossigeno legato a due atomi di carbonio adiacenti, a formare un ciclo). Il secondo componente, chiamato anche indurente e spesso rappresentato da Bisfenolo A, è dotato di gruppi idrossilici (-OH). Quando i due componenti entrano in contatto, il gruppo epossidico e il gruppo idrossilico reagiscono creando un legame che porta alla solidificazione del composto, garantendo forza e durata della colla.

Diverso è il discorso per le colle cianoacriliche: in questo caso, è il contatto con l'umidità nell'aria o con acqua a innescare la polimerizzazione e l'indurimento dell'adesivo. Tutti i reattivi sono già nello stesso tubetto, e finché lo teniamo ben chiuso, non vengono in contatto con umidità o acqua e quindi non possono reagire e "incollarsi" tra loro o alla confezione. Una errata chiusura del tappo però, può far entrare umidità e far seccare facilmente il prodotto, con un processo purtroppo non reversibile.